Soalan dan jawapan sejarah spm, soalan matriks dan jawapan, soalan dan jawapan sejarah tingkatan 2, soalan dan jawapan matematik tingkatan 3, soalan dan jawapan matematik upsr, soalan percubaan stpm pengajian am penggal 2, soalan dan jawapan upkk, soalan stpm geografi penggal 1, soalan interview dan jawapan, soalan dan jawapan matematik tingkatan 3.
Selamat datang di situs web kami. Anda berada di tempat yang tepat untuk mendapatkan informasi tentang Soalan dan jawapan geografi stpm penggal 2. Artikel yang akan datang akan membahas tentang Soalan dan jawapan geografi stpm penggal 1 fizi noor, contoh jawapan esei geografi tingkatan 6 riset, soalan dan jawapan ekonomi stpm penggal 2 jiran. Artikel juga akan dilengkapi dengan gambar-gambar yang mendukung Soalan dan jawapan geografi stpm penggal 2 sebelumnya, serta tautan ke sumber a rtikelnya. Selamat membaca!
Contoh soalan dan jawapan seni visual stpm penggal 1 malaykiews. Soalan stpm penggal jawapan
Contoh jawapan soalan esei geografi stpm.
See Also: How To Choose The Right Mortgage Lender Tips For Finding A Trustworthyand Reliable Lender
Contoh jawapan soalan esei geografi stpm.
Skema jawapan geografi stpm 12 markah mowmalay.
Stpm ekonomi penggal 2 2018 stpm informasion.
Soalan dan jawapan geografi stpm penggal 1 jiran. Geografi stpm jawapan soalan penggal
Soalan dan jawapan geografi stpm penggal 1 jiran.
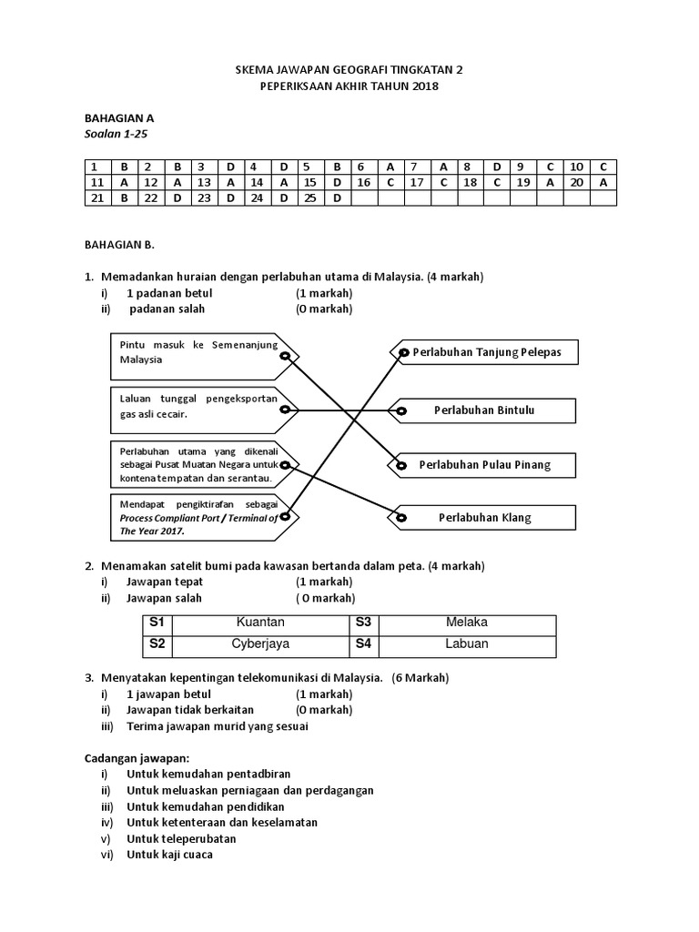
Skema jawapan geografi tingkatan 2.
Contoh soalan peperiksaan geografi tingkatan 1. Tingkatan geografi soalan ujian bab kssm peperiksaan tahun esei akhir selangor
Skema jawapan geografi stpm penggal 3 malayuswe.
Soalan dan jawapan geografi stpm penggal 1 jiran. Soalan stpm geografi penggal jawapan percubaan contoh
Contoh soalan dan jawapan seni visual stpm penggal 1 malaykiews. Soalan stpm penggal contoh jawapan
Soalan peperiksaan akhir tahun geografi tingkatan 2 cheveux r.
Soalan sebenar stpm pengajian am penggal 2 2017. Pengajian jawapan soalan stpm skema penggal sebenar objektif melayu jkd
Soalan dan jawapan bahasa melayu stpm penggal 2 ceriabantet riset.
Soalan sejarah stpm sem 1 2019 stpm informasion.
Soalan sebenar sejarah stpm penggal 3 2019 sukatan pelajaran sejarah. Soalan stpm pengajian penggal jawapan sebenar karousell perniagaan peperiksaan spm
Soalan dan jawapan geografi stpm penggal 1 fizi noor.
Contoh jawapan soalan esei geografi stpm pelakor c. Soalan geografi contoh jawapan stpm esei rubrik jawab spm
Soalan dan jawapan geografi stpm penggal 1 fizi noor.
Soalan dan jawapan ekonomi stpm penggal 2 jiran. Stpm anyflip penggal ekonomi undang soalan jawapan adat hukum coursework pengajian
Stpmsoalan graf bar kompaun dan jawapan malakwos. Graf kompaun pengajian stpm soalan jawapan penggal
Jawapan buku lp soalan struktur pengajian am penggal 2 malayuswe. Buku jawapan soalan pengajian penggal
Latihan geografi bab 8 tingkatan 1 1 terus berjuang.
Contoh soalan pilihan jawapan geografi tingkatan 3 aras rendah malaykufa. Geografi soalan tingkatan pilihan jawapan graf berdasarkan rendah
Soalan dan jawapan geografi stpm penggal 1 jiran. Soalan stpm geografi jawapan penggal
Geografi stpm sistem penggal. Stpm geografi penggal buku ringkas
Skema jawapan geografi stpm penggal 2 stpm ulangan 2018 malaowesx. Stpm
Pengajian perniagaan stpm penggal 2 contoh soalan sebenar then jawapan.
Soalan dan jawapan ekonomi stpm penggal 2 like supervision.
Soalan dan skema geografi stpm penggal 1 cards of. Stpm penggal soalan geografi skema ekonomi malacca jawapan
Soalan dan jawapan geografi stpm penggal 1 fizi noor.
Contoh jawapan esei geografi tingkatan 6 riset.
Contoh soalan geografi stpm sem 1 wulancedb.
Contoh jawapan esei sejarah.
Soalan geografi tingkatan 2 dan jawapan malaykuri. Tingkatan geografi jawapan soalan aktiviti skema persoalan kssm peperiksaan pertengahan tahun















